Bryan H. Goldstein, et al. Comparison of Management Strategies for Neonates With Symptomatic Tetralogy of Fallot. J Am Coll Cardiol 2021


这项新生儿期干预的sTOF多中心研究中,我们报道了SR和PR治疗策略之间的比较。经患者因素校正后,我们发现PR组的早期死亡风险更高,但治疗组之间的总体死亡风险没有差异。次要预后的重要差异包括SR组新生儿发病率较低,而总体累积发病率高于PR组。SR组的再干预风险较高,但晚期再干预风险(>3个月)和根治后后的再干预在两组之间没有差异。这是报道的使用SR或PR策略治疗的sTOF新生儿中最大队列之一,有大量的患者水平数据可用,并且是第一个来自多中心协作的队列。队列的总体规模和各中心实践模式的可变性有助于用倾向评分法调整治疗策略的比较,以抵消与适应症混杂相关的潜在偏倚。在没有前瞻性随机临床试验的情况下,我们认为这是公平比较这两种治疗策略最合适的方法。

之前的几项研究权衡了不同治疗途径对患有sTOF的新生儿和婴儿的关键预后的潜在益处。尽管每一项研究都提供了丰富的信息,但这些研究都受到一些限制,包括单中心队列研究、小队列研究、治疗(姑息)途径纳入不完整和/或治疗组之间缺乏解释混杂变量和基线差异的校正方法。然而,每种策略的重要益处已得到证实,最近证实了使用RVOT支架进行姑息治疗的益处。最近对从儿童健康管理信息系统(PHIS)数据库中提取的sTOF新生儿的分析,克服了许多这样的限制。因为它包括了近2400名患者,因此允许研究人员使用校正方法。在该报道中,Savla等人证明了,在长达2年的随访期间,PR与术后并发症和死亡率的高风险相关。这些发现与我们的报道有很大不同,可能在一定程度上反映了PHIS数据库分析中固有的局限性。首先,PHIS中的患者水平数据是有限的。PHIS分析不能校正某些治疗前解剖差异或术前因素,这些因素在我们队列中的治疗组之间的发生率不同,因此被认为是我们分析中校正的潜在重要混杂因素。第二,确定PHIS患者的生存状态会引入对住院死亡率更大的人群的潜在偏倚。PHIS管理数据库包含住院、急诊、门诊手术的出院数据,但严重缺失的数据均与这些类型无关。因此,不会捕获在PHIS报道类型之外发生的(SR)死亡。在某种程度上,IP后的出院后死亡率比PR更为常见,因此存在一种偏倚,SR组中PHIS低估晚期死亡率。早期死亡率的分析主要来源于住院患者的死亡,不包含这种计算不足,并且与本研究报告的结果一致,即SR组早期存活率更高。这些局限性至少可以部分解释PHIS研究和我们的报告之间的差异。

本研究的一个重要主题是SR组新生儿发病率的相对降低,包括手术支持时间、麻醉持续时间和ICU住院时间的降低。尽管累积发病率在各组之间没有差异,甚至在PR组更低,但暴露于新生儿期疾病带来的潜在有害刺激可能是独特的,影响更为严重。有证据表明,先天性心脏病的新生儿表现出大脑成熟进程和速度方面的损害,因此更容易受到白质脑损伤的影响。婴儿心脏手术后经磁共振成像证实的亚临床脑损伤与较长的总支持时间和发育不良有关。减少可改变的危险因素可能对有其他固定危险因素的新生儿尤其有意义,如遗传或宫内紊乱,这些因素本身会导致神经发育障碍。早产、低出生体重和DiGeorge综合征在SR组中更为常见,这一发现表明,在该组新生儿期减少暴露于可改变的危险因素可能具有独特的益处。

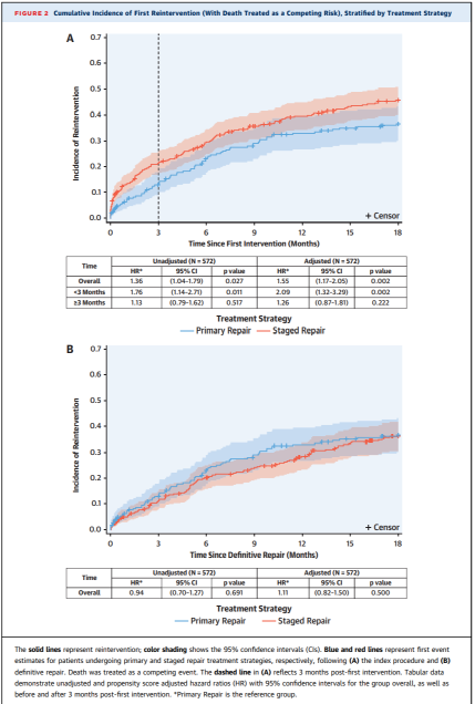
再干预是衡量治疗策略全球影响的一个重要的次要指标,对发病率和死亡率、生活质量和护理费用有潜在的不利影响。在这项研究中,在SR组中,再干预增加了额外手术的早期风险,这一发现反映了sTOF患者姑息治疗后解剖和生理学的动态特性。尽管对再干预的具体危险因素的深入探讨超出了本报道的范围,但很明显,在两个治疗组中,根治后的干预是常见的,在18个月时接近35%的累积发病率。相当一部分的再干预是在肺动脉分支上进行的,这可能反映了干预后残余病变和先天性疾病的治疗。
在小而通常不发育的肺动脉分支(z评分-1.32至-1.51)的情况下,约50%的患者在根治时接受肺动脉成形术,治疗组无明显差异。这一发现与2个原因有关:第一,每种治疗策略的假设优势是有利于肺动脉的大小和生长,避免肺动脉补片成形术;第二,补片增加可能与肺动脉生长潜能降低有关,因此假设有助于提高再干预率。在这一队列中,肺动脉补片成形术的高发生率,以及治疗组之间发病率的无差异,使这一措施成为一个“巨大的平衡”,而不是治疗优势的驱动因素。
我们发现,在肺动脉闭锁患者中,跨环补片在PR中更常见,导管的使用在CR中更常见。在CR时,右室流出道导管植入的频率明显高于PR。这一发现可能反映了有意将根治推迟到更大年龄和更大尺寸(使用SR策略),从而有助于在根治时放置更大的右室流出道导管,解剖基础决定需要导管放置的患者。事实上,与PR组相比,SR组在CR时植入的导管直径更大(14 mm[四分位范围:12-16 mm]vs.10 mm[四分位范围:9-12 mm];p<0.001)可能推迟导管更换的需要或增加该组经导管矫治成功的概率。同样地,SR组中,选择晚期根治可能有利于限制心室切开,这已被假定为有利于晚期心室同步性和收缩性。在整个队列中,保留瓣膜的TOF矫治比例较低(8.1%),治疗组之间没有差异。当这项分析仅限于被认为可能是保留瓣膜TOF矫治的候选者(排除肺动脉闭锁患者)时,比率略有上升(SR:13.8% vs PR:14.5%;p=0.87),但两组之间仍相似。保留瓣膜的TOF矫治比例低可能是肺动脉闭锁率高(49.7%)和有症状的新生儿队列(可能表现为更严重的RVOT梗阻)的结果。对基线肺动脉解剖、手术技术、根治后肺动脉再介入的发生率以及长期肺动脉生长进行更详细的分析,可能有助于进一步了解这些治疗策略的晚期疗效。

尽管主要预后相同,但SR途径的离散成分与较低的住院死亡率和并发症相关。这些发现对sTOF患者的治疗决策具有潜在的重要意义。首先,患有sTOF的新生儿也可能出现其他主要的合并症。根据中心的住院发病率或死亡率情况,使用针对特定表现而定制的治疗策略可能会为患者带来益处。其次,先天性心脏病领域的关键基准(例如胸外科学会先天性心脏手术数据库)使用新生儿手术(IP vs.PR)和TOF矫治(CR vs.PR)后的住院死亡率指标。在这两个关键指标中,我们发现SR组住院死亡率较低。最后,虽然这项研究采用校正方法进行分析,但从业者必须实时做出治疗决定,认识到当地的优势和劣势。我们的报道指出两种不同的治疗策略在主要终点上是相同的。然而,对结果的准确解释需要理解这些数据是反映每个中心的专业知识、惯例和理念的机构级战略、协议和程序的表现。虽然这里使用的分析模型确实针对中心进行了调整,但我们有意避免在中心或操作者层面对结果进行评估。考虑手术支持时间作为讨论的背景。尽管SR治疗组的患者在CR时比PR组新生儿年龄大,但SR组根治的手术支持时间明显延长。CR时较长的支持时间可能是由多种因素造成的,包括再手术的性质,期间右心室肥厚的进展,限制老年患者心室切开的系统策略,患者水平的复杂性,或者是手术者的特征差异,他们倾向于SR策略而不是PR策略。我们无法区分这些可能性,事实上,可能是多因素造成的。最后,我们建议结合患者、提供者和中心的特点,有助于区分新生儿sTOF不同治疗途径的疗效。

尽管纳入了大量的多中心患者,但这项研究仍有重要的局限性。首先,虽然我们试图校正相关的混杂变量,但本研究的回顾性性质允许存在未测量的混杂因素。我们无法解释可能影响结果的围手术期和阶段管理的差异。此外,尽管我们在校正模型中考虑了中心因素,但我们无法校正模型中特定操作者(如外科医生或干预医生)的影响。其次,晚期解剖和功能评估未纳入本报道,因此我们无法评估治疗策略对关键长期发现的影响,如功能状态、心律失常负荷、肺动脉瓣功能以及右心室大小和功能。最后,虽然SR组包括342名接受IP治疗的患者,但姑息性手术类型的分布不对称,RVOT和动脉导管未闭支架相对较少。尽管这两种姑息方式近年来越来越受欢迎,但我们无法对不同姑息策略的疗效进行深入的比较。如果纳入更大比例的经导管IP,SR组的总体结果可能会发生改变。




